产品与服务
PRODUCTS AND SERVICES
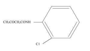
乙酰乙酰邻氯苯胺
所属分类
二乙芳胺系列
产品特性
分子式:C10H11CINO2
结构式:

CAS NO.:93-70-9
应用领域:主要用于合成C.l.颜料黄3;63;168等品种的偶合组份。

上一个
无
下一个
乙酰乙酰-2,4-二甲基苯胺
.
Copyright © 2019 爱体育在线网站-爱体育在线网站-首页 All Rights Reserved
联系电话:0532-89076010
鲁ICP备14024413号 网站建设:中企动力 青岛
Copyright © 2019 爱体育在线网站-爱体育在线网站-首页 All Rights Reserved
鲁公网安备 37021202001462号
联系电话:0532-89076010 | 鲁ICP备14024413号 | 网站建设:中企动力 青岛
